ZWO Kabellose Smartkamera ASI2600MM Air - 3-in-1-Lösung: Nachführung, Bildgebung und intelligente Steuerung
Befreien Sie sich von all diesen Problemen:
- Komplizierte Einstellungen
- Kabelfehler
- Portbeschädigung durch Kabelfehler
- Schwierige Achsenausrichtung
- On-Axis-Nachführung mit verbesserter Genauigkeit
Genießen Sie die Schönheit des Nachthimmels überall
- Vom Komfort Ihres Balkons aus
- Auf Ihrem Dach
- In der freien Natur mit Ihrem Zelt
Beginnen Sie Ihre Reise in die Astrofotografie mit großem Komfort
Die ASI2600MM Air vereint Nachführung, Bildgebung und intelligente Steuerung in einem kompakten, leichten Gerät. Verabschieden Sie sich von komplizierten Einstellungen und genießen Sie ein nahtloses, müheloses Astrofotografieerlebnis.
Bildsensor
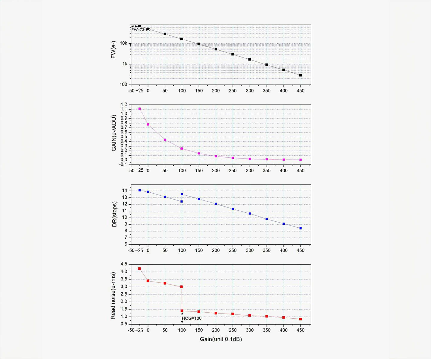
Der Hauptsensor IMX571 hat das APS-C-Format und 26 MP insgesamt. Die Größe beträgt 23,5 mm in der Breite x 15,7 mm in der Höhe und die Diagonale beträgt 28,3 mm. Die kleine Pixelgröße von 3,76 µm x 3,76 µm bietet eine beeindruckende Full-Well-Kapazität von 50 ke. Mit der neuen Hardware-Technologie wird sie sogar auf 73 ke erweitert
.Guidingsensor
Der aus der ASI220MM Mini-Kamera übernommene Sensor SC2210 zeichnet sich durch eine sehr hohe Empfindlichkeit aus. Der QE-Spitzenwert erreicht 92 % bei 500 nm. Das Ausleserauschen liegt bei nur 0,6 e. Als Vertreter einer neuen Generation von Guidingsensoren hat er großartige Ergebnisse bei der Nachführung erzielt, was von Hunderten von Astrofotografen bestätigt wurde.
Problemloses Verbinden mehrerer Geräte: 4x USB2.0, 3x DC 12 V 10 A, 1x USB Typ-C
USB 2.0-Anschlüsse für Auszug, Filterrad und Montierung, DC 12 V 10 A Eingangs-/Ausgangsanschlüsse für zuverlässige Stromversorgung, und USB Typ-C-Anschluss für Dateiübertragungen zum Computer - Sie können sich auf die Aufnahme atemberaubender Bilder konzentrieren, ohne sich Gedanken über Verbindungsprobleme zu machen.
Aufnehmen mit Zuversicht: reichlich Speicherplatz und Stabilität
Mit einem riesigen eMMC-Speicher von 256 GB können Sie mit der ASI2600MM Air problemlos mehrere Objekte aufnehmen. Strenge Tests mit über 300 Benchmarks gewährleisten die Systemstabilität. Darüber hinaus unterstützen die USB 2.0-Anschlüsse externen Speicher von bis zu 1 TB, so dass Sie viel Platz für alle Ihre astrofotografischen Zwecke haben.
Tauchen Sie ein in die reichhaltigen Details der astronomischen Objekte
Im erweiterten Modus erreicht die Full-Well-Kapazität dieser Kamera 73 ke, was dem 1,46-fachen des IMX571-Sensors (51 ke) entspricht, wodurch Aufnahmen mit langer Belichtungszeit weniger anfällig für Überbelichtung sind. Die große Full-Well-Kapazität und der hohe Dynamikbereich ermöglichen es, sowohl helle als auch dunkle Bereiche mit erstaunlicher Klarheit und Detailgenauigkeit zu erfassen. Erleben Sie die wunderbaren Details und Farben von Objekten wie nie zuvor!
Dualband-WLAN für ein stabiles Signal
Erleben Sie eine unvergleichliche Verbindungsqualität mit der verbesserten externen Dual-Band-Antenne von ZWO, die sowohl 2.4G- als auch 5G-Frequenzen unterstützt und eine stabile und reibungslose Nutzung innerhalb von 20 Metern bietet.
Volle Kontrolle über Ihre gesamte Ausrüstung mit nur einem Tastendruck
Mit der ASIAIR Smart App können Sie ganz einfach die Nachführung, die Bildgebung, Ihre Montierung und den elektronischen Fokussierer steuern - alles von Ihrem Smartphone aus. Sie unterstützt mehrere Bildgebungsmodi, sodass auch Anfänger schnell lernen und Bilder in professioneller Qualität aufnehmen können.Guiding
Die Nachführkontrolle der angeschlossenen Montierung geschieht über den eingebauten Guidingsensor, die eingebaute ASIAir-Steuerung und die Aufnahmesoftware, also die ASIAIR-App oder ASIImg aus der ASIStudio-Suite. Ein ST-4-Autoguiderkabel zur Montierung wird somit ebensowenig benötigt wie eine separate Guidingkamera.
Sofortige Nachbearbeitung und Weitergabe
Live Stack wird während der Aufnahme unterstützt. Sie können auch Anpassungen an Helligkeit, Kontrast und andere Einstellungen am endgültigen Bild vornehmen. Teilen Sie Ihre Meisterwerke sofort auf Social-Media-Plattformen und in Astronomie-Communities und machen Sie so Ihre Arbeit bekannt.
Mehr erreichen mit ZWOs selbstentwickelten System
Das System basiert auf den patentierten Technologien von ZWO und gewährleistet eine stabile Astrofotografie-Leistung. Kontinuierliche App OTA-Updates halten Ihr Gerät mit den neuesten Funktionen auf dem neuesten Stand, verbessern Ihr Benutzererlebnis und erweitern Ihre Möglichkeiten.
Benutzerhandbuch
ZWO stellt für die sehr ähnliche Farbversion ein Benutzerhandbuch in englischer Sprache zur Verfügung, das Sie hier im PDF-Format herunterladen können: asi2600mc-air-en.pdf
Praxistipp: Eine gute Lagerung ist eine wichtige Vorbeugung gegen Tau und verlängert auch die Lebensdauer:
Nach Gebrauch geben Sie die Kamera gleich in einen TS Protect Case und geben Sie etwas Silica-Gel dazu. Während der Lagerung saugt das Silica-Gel die Feuchtigkeit aus der Kamera. Gleichzeitig wird das Eindringen der feuchten Raumluft verhindert. Durch die trockene Lagerung können sich bei gekühlten Kameras sogar die kleinen Trockentabletten teilweise regenerieren. Ihre Kamera oder Ihr Zubehör ist immer in optimalem Zustand für Sie bereit. Das Silica-Gel und den Koffer finden Sie in unseren Produktempfehlungen.Die Kameras sind nicht luftdicht, wenn also die Kamera am Fernrohr verbleibt, ist sie der Feuchtigkeit ausgesetzt. Die kleine Menge an Trockenmittel in der Kamera kann den Sensor und die Innenseite des Schutzglases zwar für die Aufnahmedauer vor Feuchtigkeit schützen aber nicht für einen tagelangen Verbleib am Teleskop. Feuchtigkeitsprobleme können die Folge sein. Ein einfacher Trick ist, rund um den Okularauszug, an dem die Kamera anmontiert ist, eine Plastiktüte zu spannen und zwar so, dass keine Luft eindringen kann. In der Plastiktüte wird Silica-Gel in einer kleinen Stofftüte deponiert. Damit schaffen Sie auch am Teleskop eine "trockene Klimazone" für die Kamera. Damit können sie die Kamera auch mal für ein paar Tage am Fernrohr belassen für eine mehrtägige Aufnahmesession.Mittel- und langfristig kann dadurch aber eine ordnungsgemäße Lagerung im luftdichten Koffer mit Silica-Gel nicht ersetzt werden.
Lieferumfang:
- Kamera
- 1,5 m DC-Verlängerungskabel mit Hohlstecker und Hohlsteckerkupplung
- 1 m Stromversorgungskabel x2
- 0,5 m USB2.0-Kabel x2
- M54a-M54i-Adapter (16,5 mm)
- M54a-M54i-Verlängerungsring (21 mm)
- M54a-M48i Adapterring
- 1 m Kabelband
- Kurzanleitung (englisch)
- 2-mm-M2,5-Sechskantschlüssel
- Antenne
- Faltblatt mit Lieferumfang
| Bildsensor: | Sony IMX571 (rückseitig belichteter CMOS-Schwarzweißsensor) |
| Sensorgröße: | 23,5 mm x 15,7 mm, Diagonale 28,3 mm (APS-C) |
| Pixelgröße: | 3,76 µm |
| Auflösung: | 26 Megapixel |
| Pixelmatrix: | 6248x4176 Pixel |
| Belichtungszeitenbereich: | 32 µs bis 2000 s |
| ADC: | 16 bit |
| Kühlung: | Leistungsstarke Peltierkühlung 30 °C bis 35 °C unter Umgebung |
| Full Well: | 50 ke-, bis zu 73 ke- im "extended full well mode" |
| Ausleserauschen: | 0,84 bis 4,2 e- |
| Empfindlichkeit: | Peak 91 % QE |
| Zero ampglow design: | Ja |
| Eintrittsfenster: | IR-Cut-Filter |
| Tauschutz: | Tauschutzheizung mit 2,88 W, abschaltbar |
| Guidingsensor Typ: | SC2210 |
| Sensorgröße: | 7,68 mm x 4,32 mm, 8,81 mm Diagonale (1/1.8") |
| Pixelgröße: | 4 µm x 4 µm |
| Auflösung: | 2,07 Megapixel |
| Pixelmatrix: | 1920×1080 Pixel |
| Belichtungszeitenbereich: | 32 µs bis 10 s |
| ADC: | 12 bit |
| Ausleserauschen: | 0,6 bis 3,2 e- |
| QE: | 92 % bei 500 nm |
| FWC: | 8780 e- |
| Bildfrequenz: | 8,5 FPS |
| ST-4-Schnittstelle: | nein, unnötig |
| Eingebaute Steuerung: | ASIAir-(Mini)-Computer |
| Arbeitsspeicher: | 2 GB DDR4 |
| Speicherplatz: | 256 GB eMMC |
| Datenschnittstelle kabelgebunden: | Ausführung Typ-C (nur für Datentransfer zum Computer) |
| Drahtloses Netzwerk: | IEEE 802.11a/b/g/n/ac, 2,4 GHz / 5 GHz, effektive Übertragungsreichweite 20 m |
| Stromanschlüsse: | 3x 5,5/2,1-mm-Hohlstecker, ein beliebiger als Stromeingang |
| Spannungsversorgung: | 12 V, 3 bis 10 A, (Netzteil nicht enthalten) |
| Strombedarf: | 12 V, 3 A |
| Maximale Verlustleistung: | 27,6 W |
| USB-Hub: | 4x USB 2.0 |
| Teleskopanschluss: | M54x0,75-Innengewinde |
| Arbeitsabstand vom Innengewinde zum Sensor: | 17,5 mm |
| Durchmesser: | 90 mm |
| Länge: | 97,9 mm (ohne Antennenanschluss) |
| Antennenlänge: | 94 mm |
| Gewicht: | 775 g |